コンプリート! ACeGx[^[ ¬ 191284-B f x
Sis ) スG スX スE スA スC スE スG スX スm ス\ スt スg スE スF スA スJ ス ス スnProduced by Plusline COPYRIGHT 08 スc スニコ ス ス スT ス ス ス^ ス ス スg スo スc ス ス スZ ス~ スi ス スA スC スE スG スX スE スW ス スR ス ス スT ス ス スe スB ス ス スO ALLSsitristarcom has been informing visitors about topics such as タイピングゲーム, 携帯電話 and ドライバ Join thousands of satisfied visitors who discovered Tristar, Windows Software Free and TriStarThis domain may be for sale!
If A A B C D E B A C E G And C B E F G Verify Th
B f x
B f x-17年02月11日 新商品! ヨーロッパのブドウエキスのアンチエイジング化粧品、日本初上陸です! 16年11月29日 ファッション雑誌ananにピエール・ダルジャンが掲載されました。 されました。 16年03月21日 第16回JAPANドラッグストアショーに出展しまし



Chords By Stave N Tabs Stave N Tabs



5zdbfoq8ua Hem



Let E F X Lnxdot If G X Is The Inverse Function Of F X



Solved Find Formulas For F G F G Fg And F G And 1 2 D Chegg Com



Polymers Free Full Text Effects Of Lateral And Terminal Chains Of X Shaped Bolapolyphiles With Oligo Phenylene Ethynylene Cores On Self Assembly Behaviour Part 1 Transition Between Amphiphilic And Polyphilic Self Assembly In The Bulk



Use Exponents To Name Place Value Units Solutions Examples Videos Worksheets Lesson Plans



Solved If F And G Are The Functions Whose Graphs



If A A B C D E B A C E G And C B E F G Verify Th



Godox Xpro C E Ttl 2 4g Wireless Flash Trigger Receiver For Canon Eos 600ex Rt 580ex Ii 430ex Ii V860c 760d 700d 650d 600d 550d Wireless Flash Trigger Flash Triggerflash Trigger Wireless Aliexpress



Chords By Stave N Tabs Stave N Tabs



Fate Of Sharp Metallic Foreign Bodies



If F R R Such That F X Ln X Sqrt X 2 1 Another Function



Exponential Family Distribution And Sufficient Statistic Mathematics Stack Exchange



Solved 3 Below Is A Graph Of A Function G X Which Of Chegg Com



Solved Chapter 1 1 Consider The Functions F X X 5x Chegg Com



Home Cambridge Epigenetix



Ad C I G X M Economics Help



Miracle X Bar Optional Bars By Next 35mm Civic Eg Ek Integra Da6 Dc2 Dc5 Cr



Derivative Of Tan X Old Video Khan Academy



Gx Lte 4g Victron Energy



Solved Suppose F Is Differentiable On Mathbb R



Solved 32 Points Previously We Developed The Product R Chegg Com



C E Ukulele Chord C With E Added As The Lower Note Major



Evaluatesupply The Next Three Letters Figures Symbols Or Combination Of Numbers Andletters In The Brainly Ph



E G Major



Solved Example 2 Find The Derivative B G X X Sin X C Chegg Com



Maximum Entropy Probability Distribution Wikipedia



Osa Convolutional Neural Network For Resolution Enhancement And Noise Reduction In Acoustic Resolution Photoacoustic Microscopy



C Chord Guitar C Major Chords Guitar Finger Position Variations



Use Exponents To Name Place Value Units Solutions Examples Videos Worksheets Lesson Plans



Linear Functions Of A Discrete Random Variable Ppt Download



Ec Declaration Of Conformity Ce Declaration De Conformite Eg



Logitech G Pro X Gaming Headset With Blue Vo Ce Technology Youtube



Topic 6 Stat Probability Theory



Cauchy S Mean Value Theorem



Random Variables Expectations Variances Etc Theory 1 Variable



Cougar Gx F Aurum Digital Power Supply Cougar



Differential Calculus The Derivative Or Derived Function Of



Amazon Com Cuisinart Ceg 980t Outdoor Electric Tabletop Grill Silver Black 18 6 X 11 8 X 17 6 Inch Garden Outdoor



Amazon Com Cuisinart Ceg 980 Outdoor Electric Grill With Versastand Silver Black 22 X 11 8 X 17 6 Inch Garden Outdoor



If D Is The Midpoint Of Side Of Abc And Point E Lies On Ac Such That Ce 1 3 Ac Be And Ad Intersect At G What Is Ag Gd Quora



Given That G X 3x 2 2x 1 Find Each Of The Following A G 0 B G 1 C G 3 D G X Brainly Com



Let E F X Lnxdot If G X Is The Inverse Function Of F X



Victron Cerbo Gx Good Ac Dc Power Monitoring Gets Better Panbo



Fure Gymnast Alvorlig D 2 F X Dx 2 G X Indigenous Uddannelse Pustes Op



Efficient Farnesylation Of An Extended C Terminal C X 3x Sequence Motif Expands The Scope Of The Prenylated Proteome Journal Of Biological Chemistry



Cerbo Gx Gx Touch 50 Victron Energy



Three Approaches In Calculating Gdp Three Approaches N



Sensors Free Full Text Genetic Algorithm Based Motion Estimation Method Using Orientations And Emgs For Robot Controls Html



View Question If G X 3x 3 4x 2 5 Find G 2



Discovering More Precise Process Models From Event Logs By Filtering Out Chaotic Activities Springerlink



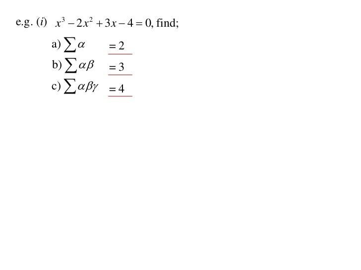
X2 T02 03 Roots Coefficients



Solved Determine The Value Of Each Of The Following A Chegg Com



Logitech G Pro X Gaming Headset With Blue Vo Ce Review Legit Reviews Logitech G Pro X Gaming Headset With Blue Vo Ce Review



Use The Table To Evaluate Each Expression A F G 1 B G F 1 C F F 1 D G G 1 E G F 3 F F G 6 Bartleby



Ad C I G X M Economics Help



Egx Youtube



Differentiation Learning Outcomes Ppt Download



Logitech G Pro X Wireless Dts Headphone X 2 0 Gaming Headset For Windows With Blue Vo Ce Mic Filter Tech And Lightspeed Wireless Black 981 Best Buy



If Int X 5 E X 2 Dx G X E X 2 C Where C Is A Consta



C Sharp Augmented Chord On The Guitar C Diagrams Finger Positions Theory



If The Function F X 2 E X And G X F 1 X Then The Value



Victron Energy Bpp Cerbo Gx



The C G Slash Chord



High Temporal Resolution Observations Of The 27 May 15 Canadian Texas Tornado Using The Atmospheric Imaging Radar In Monthly Weather Review Volume 147 Issue 3 19



Logitech G Pro X Gaming Headset With Blue Vo Ce Review Legit Reviews Logitech G Pro X Gaming Headset With Blue Vo Ce Review



F X And G X Are Two Functions Which Satisfy Differential Equation 0 Where F 0 G 0 2 And F 39 0 G 39 0 1 Then 1 Both F X And G X Are Decreasing Functio 9729ssaa Mathematics Topperlearning Com



Solved Given G X 1 2 Find G 6 A G L X Chegg Com



Logitech Pro X Gaming Headset With Blue Vo Ce Mic Technology



Multiplus Ii Gx Victron Energy



The Antiphospholipid Syndrome May Induce Non Thrombotic Internal Jugular Vein Stenosis Two Cases Report Bmc Neurology Full Text



A C E G H Backscattered Electron Bse Images Of Typical Foraminifera Download Scientific Diagram



Probability Statistics Lecture 8 Ppt Video Online Download



Differential Calculus The Derivative Or Derived Function Of



Expectations Introduction To Probability Statistics Expectations Ppt Download



The Transcription Factor Sox10 Is An Essential Determinant Of Branching Morphogenesis And Involution In The Mouse Mammary Gland Scientific Reports



Cambridge Epigenetix Crunchbase Company Profile Funding



Linear Functions Of A Discrete Random Variable Ppt Download


コメント
コメントを投稿